合作客戶/
拜耳公司 |
同濟大學 |
聯合大學 |
美國保潔 |
美國強生 |
瑞士羅氏 |
相關新聞Info
推薦新聞Info
-
> 不同溫度下純有機物液體表面張力估算方法及關聯方程(二)
> 不同溫度下純有機物液體表面張力估算方法及關聯方程(一)
> ?工藝因素對植物纖維活性發泡材料表面張力的影響
> 印刷掉墨現象:真空噴鋁轉移紙儲存時間與涂層表面張力、結合牢度關聯性研究(三)
> 印刷掉墨現象:真空噴鋁轉移紙儲存時間與涂層表面張力、結合牢度關聯性研究(二)
> 印刷掉墨現象:真空噴鋁轉移紙儲存時間與涂層表面張力、結合牢度關聯性研究(一)
> 煤體潤濕性與水溶液表面張力關系的實驗分析【下】
> 煤體潤濕性與水溶液表面張力關系的實驗分析【上】
> 基于粒徑、速度、表面張力、黏度測定揭示塵粒?霧滴碰撞行為規律(四)
> 基于粒徑、速度、表面張力、黏度測定揭示塵粒?霧滴碰撞行為規律(三)
通過柔性葉片流涂膜的超支化聚合物結構——結果和討論
來源:上海謂載 瀏覽 2257 次 發布時間:2021-10-25
三、結果和討論
各種流涂參數用于形成不同的結構,例如超支化結構,垂直于流動方向的線(我們將其表示為"水平線"), 或平行于流動方向的線(我們將其表示為 "垂直條紋")。 為了探索這些結構的形成, 我們控制以下參數: UVO 曝光時間(至 控制基材表面能)、初始PS溶液濃度(co)、流涂停止時間(t)和設置距離 流涂 (d)。
基材表面能的重要性
UVO 暴露時間會導致鍵斷裂和交聯 在 ODTS 層中引起表面能的變化 ODTS 改性底物。 17 UVO 暴露增加 時間會導致水的接觸角減小, 甲苯 [圖。 1(B)]。 在我們的研究中,流涂 PS 溶液 在 UVO 處理的 ODTS 基材上使用 UVO 曝光時間 在 0 到 20 秒之間導致沒有 PS 沉積 [圖。 1(C)]。 隨著 UVO 暴露時間在 70 到 180 秒之間增加,PS 的水平線以確定的間距沉積 由滑動距離(接觸線的釘扎和脫釘之間的距離)。12 然而,有趣的是,在 60 秒 UVO 暴露,觀察到超支化結構為 對齊良好的自相似三角形[圖。 1(C)]。
我們在這里工作的重要結果之一是在 60 秒 UVO 暴露下形成了這些超支化結構 ODTS 基材通過流涂。 重要的是,這些結構是通過流涂創建的,它將受控的"粘滑"運動引入接觸線,其中 PS 發生沉積。 無需流涂,一滴 PS 解決方案,例如,垂直條紋(支持信息,圖 S2)沉積。
溶質馬蘭戈尼流
據我們所知,超支化結構的陣列有 以前不是通過密閉蒸發獲得的 集會; 然而,通過將表面活性劑添加到含有 microshperes18 在純硅晶片上。 Stebe 等人。 推測 迪根的周期性模式是由貝納德細胞產生的, 由熱 Marangoni 應力驅動。 19-21 作為液滴 蒸發,液滴表面冷卻并產生作為深度和半徑函數的溫度梯度。 這些 溫度梯度產生表面張力梯度 誘導熱 Marangoni 應力。 22,23 除了熱 Marangoni 應力、表面張力梯度也可以從溶質濃度梯度中產生,24 正如所觀察到的 并預測聚合物溶液。25,26 這種效應是 稱為溶質馬蘭戈尼效應。 一個值得注意的 溶質 Marangoni 強調的例子是"Tears of Wine",在 從表面張力較低的區域抽取的流體 由于張力梯度 27,28(馬蘭戈尼力)而導致表面張力較高的區域。 在我們的工作中,摩擦引起的 移動基板發生在邊緣方向 體溶液的前面,29 方向與 流涂中的 Marangoni 力。 這些反對 力導致垂直條紋的周期性形成,平行于流動方向。 因此,我們推測 這些條紋產生超支化結構。
圖 2 (A) 僅通過流涂的甲苯的彎液面前端。 箭頭表示流動后退方向。 (B) 彎月面 聚苯乙烯(PS)在甲苯中通過流涂的前面。 白色的 虛線是眼睛的指南,半月板前面跟隨 k 的周期波長。 (C) 表面張力和粘度作為 初始 PS 濃度的函數。 藍色虛線表示甲苯的表面張力。 示意圖說明 可能由表面張力梯度引起的流動(由 濃度梯度)用于在彎月面蒸發前沿的甲苯中的 PS。
雖然熱 Marangoni 效應是次要的 對于我們的工藝,如甲苯的穩定性所示 在圖 2(A) 中沒有 PS 的彎液面,我們相信 溶質 Marangoni 效應在超支化結構的形成中起著重要作用(圖 2B)。 支持 這個假設,我們注意到彎月面前沿,顯示在 圖 2(A,B),僅顯示甲苯的直線和 甲苯中 PS 的正弦波表明溶質 馬蘭戈尼效應比熱馬蘭戈尼效應更重要。 產生的溶質 Marangoni 效應 通過濃度梯度引起的表面張力梯度,24 是濃度局部波動的結果 聚苯乙烯[圖。 2(C)]。
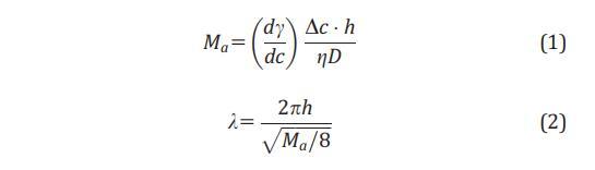
為了量化溶質 Marangoni 效應,25,26,30,31 我們估計 馬蘭戈尼數 (Ma) 和馬蘭戈尼波長 (k).32
這里,(dy/dc).△c 是由 濃度梯度,h為柔性流涂刮刀下方間隙高度的大小,12 g為粘度,D為 擴散系數。 PS 在甲苯中的粘度 溶液隨著 PS 濃度的增加而增加。 33 表面張力的變化對應于各種變化 初始 PS 濃度水平 [圖。 2(C)] 被測量 使用 Micro Trough XS (Kibron, 公司)。 根據這些數據,我們確定 dc=dc e T? Dc.此外, 對應于不同初始 PS 濃度水平的粘度變化 [圖。 2(C)] 測量,使用 TA 儀器 AR2000 流變儀,帶標準同心圓柱體,溫度為 20 8C,剪切速率為 200 s21 . 使用測量 值,假設 D 5 2.1 3 10211 m2 /s(與 Ref. 34)(計算參見支持信息),并假設溶液濃度在蒸發彎液面附近發生變化(計算參見支持信息),我們 找到 1052106 的 Marangoni 數, 這表明在彎月面前沿的主要貢獻是 溶質馬蘭戈尼效應。 因此,當地的馬蘭戈尼 流動 [圖 2(C) 中的示意圖] 導致正弦形狀 彎月面,其波長由特性給出 Marangoni 流的波長(參見支持信息 計算)。 因此,這種 Marangoni 效應設置了圖 3 中垂直條紋和點的周期性。 Marangoni 波長的幅度預計為 在 1.3 到 3.1 lm 之間,小于測量值 30 流明,無論 UVO 暴露如何,它都幾乎保持不變 時間。 預測和測量的 Marangoni 的這種差異 波長最有可能是由于不可測量的增加 蒸發彎液面前沿的粘度。25,30
圖 3 (A) 具有停止時間、t 5 100 ms 和設定距離的超支化結構形成的原位視頻圖像, d 5 5 流明。 快照之間的間隔時間 (Dt) 為 100 ms,步距 (Ds) 從紅色三角形開始測量 標記。 白色箭頭表示流動后退方向。 (B) 超支化結構的進化示意圖。
超支化結構形成
揭示自發結構形成的細節 超支化結構,我們采用原位顯微鏡[圖。 3(A)]。 視頻圖像顯示超分支 結構通常分三個階段形成[圖。 3(B)]。 我們注意到,由于我們的彎液面的動態 過程中,我們很難測量波長 動態彎液面。 在第一階段,手指平行于 由于馬蘭戈尼不穩定性而出現流動方向 和摩擦。 重要的是,三角形半月板將手指連接到半月板前部。 由于手指是 與本體溶液相比,PS 的濃度更高, 手指的表面張力相對較高,拉入 本體溶液,具有較低的表面張力。 這一步是 如圖3(B)(a)所示。
在第二階段,一根手指分成兩根,從而形成一個分支。 這種劃分與足夠的 使三角形彎月面變薄 拉伸至由流涂設定距離確定的長度。 如果設置的距離足夠小,那么細化 不會發生,PS 溶液繼續饋送垂直 條紋。 對于變薄的三角形彎月面,我們假設 兩個邊緣的蒸發過程[圖2中的兩個點。 3(B) (b)] 由于幾何形狀的原因,蒸發速度更快 該位置的彎液面,即靠近刀片的位置 這會導致更陡峭的角度。 因此,邊緣變為 更集中,增加了表面張力,這在 轉彎繪制了較低級別的解決方案 [彎曲的箭頭 圖3(B)(b)]中的流動。 拉伸的三角形彎月面中的向外流動導致了較低的高度輪廓 中間由原子力顯微鏡表征(支持信息,圖 S3)。
分支一直持續到第三階段[圖。 3(B)(c)] 當達到編程設定的距離時。 此時,該 基板停止移動,三角形彎月指再次形成,重復該過程以形成延伸 超支化結構[與圖3(B)(a)相同]。
圖 4 PS 模式作為設定距離 d 的函數,具有常數 co (co 5 0.5 mg/mL)、t (t 5 100 ms) 和 UVO 暴露時間 (60 秒)。 白色箭頭表示流動后退方向。
設置距離的重要性
了解超分支的控制參數 幾何,我們檢查了設置距離 d 的影響(圖 4), 同時保持 co、停止時間和 UVO 曝光時間常數。 當 d 較小時,例如 d 5 1 或 2 lm,垂直 形成平行于流動方向的條紋。 間距 這些垂直條紋的數量由 Marangoni 波長設置; 然而,隨著設定距離的增加,結構發生了變化 從條紋到超支化結構。 此外,當 d 大于滑動距離,例如,d 5 20 lm 或 更大的、垂直于后退流的水平線 方向被沉積。 這種轉變與 在彎液面接觸線上形成臨界應力 造成不穩定。 在小 d,而 Marangoni 流 將材料推向接觸線,刀片運動將聚合物材料拖離接觸線; 因此,沉積了垂直條紋。 當半月板被拉伸時 在 3 到 7 lm 之間,形成超支化結構。 為了 d 足夠大,彎月面被強烈拉伸并且 動搖。 固定觸點處的濃縮材料 線被沉積并形成一條水平線,而另一個 部分拉伸薄膜隨著刀片移動。
圖 5 (A) PS 圖案作為 UVO 曝光時間的函數 具有恒定的初始 PS 濃度 (co 5 0.5 mg/mL)、停止時間 (t 5 1000 ms) 和設置距離 (d 5 1 mm)。 這 白色箭頭表示流動后退方向。 (二) 聚苯乙烯 模式作為 co 和 t 的函數,同時保持不變 距離 (d 5 5 lm) 和 60 秒的 UVO 曝光時間。
溶質沉積的重要性
雖然表面能不影響 Marangoni 流動,它確實在聚合物的沉積過程中起作用 涂層,15,16,35 包括超支化結構的流涂 [圖。 1(C)]。 如前所述,26,36,37 蒸發是 接觸角越小,溶質向外流動越快 增加,導致更多的沉積。 在我們的方法中,通過觀察沉積在初始接觸線上的 PS 數量并控制停止時間,證實了這種效果 [無花果。 5(A)]。 PS吸附量隨著UVO的增加而增加 由于在彎液面較低的接觸角下溶劑蒸發增加,暴露時間增加。 未來的研究 控制蒸發率對圖案形成的影響 6,38 可以使用流涂進行,例如, 強制空氣對流以改變蒸發率。 6 此外, 已知較大的接觸角有利于去濕,15,16 和 因此,拉伸的半月板不穩定, 解釋為什么超支化結構傾向于出現在 接觸角較大的基材。
初始溶液濃度的重要性 和停止時間
進一步探索影響超支化的變量 結構形成,我們保持UVO曝光時間并設置 距離,d,常數,分別為 60 s 和 5 lm,并且變化 流涂參數,初始溶液濃度,co, 和停止時間,t。 圖 5(B) 顯示了作為 co 和 t 函數的沉積 PS 的典型形態特征。 對于 PS 溶質在接觸線上的沉積,在某種程度上, 停止時間相當于集中注意力。 更長的停車時間 時間促進更多的蒸發,39 從而在接觸線上創造一個更集中的區域,與相同 co 的更短停止時間相比。 這種相似性是由 增加 co 或通過增加停止時間,顯示 從超支化結構到垂直結構的相同過渡 條紋。 轉換是通過更低的 co 和更長的時間實現的 停止時間或通過更高的 co 縮短停止時間。 在 低 co (co 5 0.1 mg/mL),在 更短的停止時間(t 5 70 ms),或者在較長的停止時間(t 5 100 150 ms)下產生具有垂直拖尾的點。 對于這些較低的 co,預計停止時間會更長 足夠的粘度增加需要時間 實現了 PS 沉積。 在更高的 co 或更長時間停止 次,接觸點附近有更多的聚合物材料可用 線,防止拉伸的半月板不穩定 進入分支結構。 周期性(波長) 垂直條紋之間由 Marangoni 決定 不穩定性和周期性隨著 co 的增加而增加 [圖 5(B)中 t 5 120 和 150 ms 的垂直列]。 這種增加 觀察到周期性,因為粘度 g 增加 [無花果。 2(C) 證明了 g 隨著 co 增加而增加] 結果 Ma 的減少和 k 的增加(方程 1 和 2)。





