合作客戶/
拜耳公司 |
同濟大學 |
聯合大學 |
美國保潔 |
美國強生 |
瑞士羅氏 |
相關新聞Info
-
> 密封防拆射頻標簽的安裝時,需要考慮表面張力嗎?
> 含氟聚氨酯超疏水涂層表面性能、化學穩定性、耐摩擦性能研究——摘要、實驗部分
> 礦井瓦斯防治:表面活性劑溶液表面張力、泡沫特性及對甲烷緩釋效應(三)
> 微膠囊聚合物溶液對延展型表面活性劑界面張力的影響(一)
> 3種常見醇類燃料甲醇、乙醇、正丁醇噴霧特性與表面張力的關系(三)
> 不同助劑及濃度對IDK120-025型和LU120-015型噴頭霧化效果的影響(三)
> 十八胺LB膜誘導草酸鈣晶體成核與生長的機理
> 表面張力儀應用:研究活性磁化水對無煙煤塵的濕潤作用(三)
> 表面張力為35.5 mN m?1可提高水凝膠涂層仿生水下非粘著超疏油性能
> 量化改進差分毛細管法測試高溫液態瀝青表面張力精度(上)
推薦新聞Info
-
> 利用表面張力優化浮選工藝:調整劑AY在石英-膠磷礦分離中的活性調控(二)
> 利用表面張力優化浮選工藝:調整劑AY在石英-膠磷礦分離中的活性調控(一)
> 嵌段比例對溫敏聚合物表面張力的影響及臨界膠束濃度分析(三)
> 嵌段比例對溫敏聚合物表面張力的影響及臨界膠束濃度分析(二)
> 嵌段比例對溫敏聚合物表面張力的影響及臨界膠束濃度分析(一)
> 溫度和碳碳雙鍵數對脂肪酸酯表面張力的影響(二)
> 溫度和碳碳雙鍵數對脂肪酸酯表面張力的影響(一)
> 二甲亞砜與二甲苯異構體混合物的體積收縮與表面張力降低效應(二)
> 二甲亞砜與二甲苯異構體混合物的體積收縮與表面張力降低效應(一)
> 表面能與表面張力對凍干制劑中“小瓶霧化”現象的影響機制研究
基于黃芪膠、指甲花提取物制備納米天然表面活性劑的界面張力測量(二)
來源:petroleum期刊 油氣 瀏覽 1149 次 發布時間:2024-06-27
本研究研究了石墨烯、二氧化鈦(TiO2)和二氧化硅(SiO2)納米顆粒、TiO2和石墨烯的復合納米粒子以及指甲花提取物表面活性劑的納米復合物對降低油水界面張力的影響。研究人員使用溶膠-凝膠技術合成上述納米顆粒,并采用天然水性懸浮表面活性劑(黃芪膠提取物)對納米表面活性劑的穩定性進行了研究。通過電導率、濁度和界面張力實驗測定了指甲花提取物表面活性劑的CMC值。為了穩定重量百分比不同且納米顆粒類型也不同的納米表面活性劑,使用粒徑和zeta電位測量來確定黃芪膠表面活性劑各自的最佳濃度。最后,通過界面張力測量,使用穩定的納米表面活性劑來研究其對IFT的影響。
表1.指甲花和黃芪膠提取物的物性
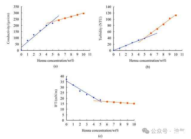
圖1.(a)電導率、(b)濁度和(c)界面張力隨指甲花溶液濃度的變化
表2.本研究中使用的納米表面活性劑的物性
圖2.IFT隨納米粒子濃度變化而變化。誤差條代表對每種納米表面活性劑進行的三種不同界面張力測量的標準偏差
圖3.不同表面活性劑在煤油中作為油相的界面張力:Seidlitzia Rosmarinus、桑葉、洋甘菊、雪松和納米流體、皂角苷(敘利亞棗樹)和指甲花。誤差線表示±5%的標準偏差
結論
由于全球能源需求迅速增長,且目前的EOR技術在最佳狀態下能夠將采收率提高到60%,因此工程師們也一直在尋找新方法增加油藏中圈閉油的產量。而這些新方法不僅要能提高原油采收率,而且必須具有環保性且經濟效益好,還要能使用于油田。天然表面活性劑和納米顆粒同時作為注入流體,可以最大程度上上滿足上述要求。納米流體驅的EOR工藝面臨許多挑戰和限制,包括納米顆粒在溶液中的穩定性、納米流體與地層巖石和儲層流體的相互作用、制備和注入納米流體的專用設備不足以及惡劣儲層條件下的應用等。解決以上問題可以使納米流體在提高EOR方面獲得重大進展。實驗證明,天然納米表面活性劑可以很好地替代工業表面活性劑和聚合物。本研究的主要結論如下:
1.界面張力測量顯示,將指甲花提取物添加到水中可以使油水之間的界面張力值從37mN/m降低到15.24mN/m。
2.在PUT化學實驗室采用溶膠-凝膠法合成了TiO2、SiO2以及TiO2與石墨烯納米粒子的納米復合物,XRD、FESEM、EDAX和FTIR測試結果證實這些合成方法確實可行。
3.本研究首次使用一種名為黃芪膠提取物的天然水性懸浮表面活性劑來穩定不同的納米流體,時間為24小時。通過粒度和zeta電位測試確定了該表面活性劑的最佳重量百分比。
4.界面張力測量表明,根據CMC值向指甲花提取物中添加納米顆粒(納米表面活性劑)對油和納米表面活性劑之間的界面張力值有輕微影響,在最佳狀態下,向指甲花提取液中添加1wt%的TiO2納米顆粒后,界面張力從18.43mN/m降低到14.57mN/m。
5.單獨的石墨烯納米顆粒對降低油水界面張力的影響可以忽略不計。加之其與TiO2納米顆粒(純TiO2納米顆粒)合成TiO2/石墨烯納米復合材料時,不利于發揮作用。因此,石墨烯納米顆粒對EOR來說在操作上和經濟上都不可行。
6.TiO2納米表面活性劑是降低油水界面張力第二好的天然表面活性劑,其效果與工業表面活性劑一樣突出。





